


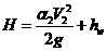
,以保证有一定的流量流出。由(yóu)此可得虹(hóng)吸管内的断面平均流速为:

友情提示:
1、设备验收:各采购单(dān)位收货时请检查虹吸(xī)演示(shì)仪的货(huò)品外(wài)观,核实的虹吸演示仪及配件,拒收处于受损状态的设备;
2、设备质保:红桃视频app将为各采购单位提供虹吸演示仪说明书,在质保范围内提供(gòng)对虹吸演(yǎn)示仪的免费维修,超出条件承诺时提供对设备的(de)有偿维修;
3、设备退换货:各采购单位单方面原因导(dǎo)致虹吸演示仪(yí)的选型(xíng)错误或购实验设备数量错误,造成设备的退(tuì)换货要求,将不被接受;
4、设备货期:对虹吸演示仪的(de)发(fā)货(huò)期为参考值,如您(nín)需要了解虹(hóng)吸演示仪的精确货期,请与上海红桃视频app公司的销售人员联系;
5、咨(zī)询电话:如各采购单位对虹(hóng)吸演示仪有任何疑问,请致电:021-56311657 ,我们将由专业技术人员为您提供有关(guān)虹吸演示仪的(de)技术咨询。
品牌理念
标准流程
有效沟通
专业管理
优秀团队
品质保证
无忧售后 | 上海(hǎi)红桃视频app科教设备有限公司,立于上海,心怀天下 |
生产基地:上海松江叶榭工业园
业务电(diàn)话:021-56311657 , 56411696 , 业务传真:021-56411696 公司邮箱:shanghaimaoyu@126.com 教学设备厂 沪公网安备(bèi) 31010702001294 号 沪ICP备13020377号-1 |