

泵进口管径d:32 mm
值和(hé)其相应泵输入功率
值,泵1的效率η1,在H—Q、N—Q、η—Q坐标系中得到相应测点,将这些点光滑地连(lián)接起(qǐ)来,从而就可(kě)以绘出泵(bèng)的H—Q曲线、N—Q曲线、η—Q曲线等特(tè)性曲线。


——电机的效率,取
,
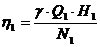
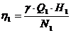
值可以得(dé)出相(xiàng)应的(de)
和
值,由此可(kě)得该流量下得相应效率
值:
。| No | M(Mpa) | V(Mpa) | G(Kg) | n(转/分(fèn)) | Q(Kg/s) | 备注(zhù) |
| W(立方(fāng))t(秒) | ||||||
| 1 | ||||||
| 2 | ||||||
| 3 | ||||||
| 4 | ||||||
| 5 | ||||||
| 6 |





品牌理念
标准流程
有效沟通
专业(yè)管理
优秀团队
品质保证
无(wú)忧售后 | 上海红桃视频app科教(jiāo)设备有限(xiàn)公司,立于上(shàng)海,心怀天下 |
生产基地:上海松江(jiāng)叶(yè)榭工(gōng)业(yè)园
业(yè)务电话:021-56311657 , 56411696 , 业务传真:021-56411696 公司邮箱:shanghaimaoyu@126.com 教学设备厂 沪公网安备 31010702001294 号 沪ICP备13020377号-1 |