设为首页| 收藏本站| 联系我(wǒ)们

虹吸演示(shì)实验(yàn)仪说明书

一(yī)、虹吸演示实验仪说明书-实验目的
1.观察虹吸发生、发展及(jí)破坏的过程。
2.理解虹吸工作的原理及估算虹吸管能(néng)使虹吸正常工作的高度。
二、实验设备

三、实验原理
在生产和生活(huó)中,常见用一根(gēn)管子从大容器液面下绕过容器上口向外(wài)导流液体。这种管子称为虹吸管,管内(nèi)的水流现象称为虹(hóng)吸现(xiàn)象。虹吸管的工作原理是先将(jiāng)管中空气抽出,使(shǐ)虹吸管路形成真空,在大气压强的作用(yòng)下,高水位水箱的水从(cóng)管口上升到管的顶部,然后流(liú)向低水位水箱。
下面应(yīng)用稳定总流量能量(liàng)方程来分析和求(qiú)解虹吸管水流的流速、流量、虹吸高度等问题。
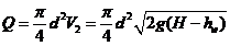
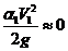
下图中,首(shǒu)先选取通过虹吸(xī)管水流(liú)出口点的水平(píng)面0—0 ′为基准面。然后根据已知条件,正确选择计算断面,为(wéi)了求解管内流速及流量(liàng),我们(men)应选取通过水池表面A点的断面1—1和通过虹吸管出口处C点的断面2—2,列出稳定总流量能量方程:

由上式可以看出,虹吸管引流液体的能量来自虹吸管出口至容器内水面间的位能(位置水头)H,它的一部分用于克服虹吸管内的阻力,即损失能量hw,另一(yī)部(bù)分用于转变为流速水头,以(yǐ)保证有一定的流量流出。由此可得虹吸管内的断面平(píng)均流(liú)速为(wéi):

因而(ér)通(tōng)过(guò)虹吸管的流量为(wéi):

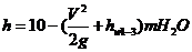
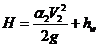
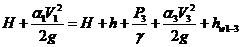
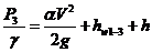
虹吸高度h(即虹(hóng)吸管(guǎn)的(de)顶点到容器水面的距离(lí))是(shì)有一定限制的。下面我们通过对虹吸管最(zuì)高处的水力特(tè)性分析(xī)来说明,仍以上(shàng)面(miàn)所选的(de)0—0 ′为(wéi)计算基准面,并对断面(miàn)1—1和断面3—3写出稳定总流能量方程:

由于,则:
式中右边括弧中各(gè)项皆为(wéi)正值(zhí),为负值,即C点产生真空,其(qí)真空(kōng)度为:


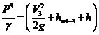
因此,对于水来讲,虹吸高度h的理论(lùn)值应为:

通过弯(wān)管流量计的流量为:


四、实验步骤(zhòu)
1.将测(cè)压小水箱中(zhōng)加水至1/2。为增加演示效果,可在水中加入少量红(hóng)墨水(shuǐ)。
2.开启水泵,向高水(shuǐ)位水箱,低水位水箱注水,使(shǐ)高水位水箱有溢流,低水位水箱水位达(dá)到后,关闭供水阀。
3.打开低位水箱的放水阀,在虹(hóng)吸管形成真空后,水流将由高位水箱向低位水箱流动,同时能看到(dào)测压小水箱中的各测压管中的水位的变化,显示管路中各处的真空压力值,其它(tā)两根用以测量(liàng)虹(hóng)吸管路中弯管流量计的压差(chà)。
4.打开螺塞(sāi),吸入空气,可(kě)观察(chá)虹吸之破坏过程。
五、思考题
1.为什么虹吸式出水流道出口下方会出现涡旋?
2.如何消除虹吸式出水流道出口下方出现的涡旋?


其他技术文章链接:
加强(qiáng)中职学生对弱电与强电认识
好氧堆肥实验(yàn)装置使用说明
传感器实验台(tái)温度(dù)控(kòng)制(zhì)仪表(biǎo)操作说明(míng)
太阳能光伏发电(diàn)综合实训系统使用(yòng)说明
电动机技术工作原理及运行(háng)维护
电机与拖动实(shí)验实训报告
光机电一体化(huà)实训(xùn)设备实验室介绍
机械设计实(shí)验室
齿轮范成仪使用说明书(shū)
家用电器(qì)之电子消(xiāo)毒柜实验指导书
臭氧氧化脱(tuō)色实验说明书(shū)
萃取精馏教学实验指导书
二氧化碳PVT关系测定(dìng)实验指(zhǐ)导书
空(kōng)气绝热指数测定(dìng)装置实(shí)验(yàn)指导书
填料吸收(shōu)实验装置使用指导书
超滤、纳滤(lǜ)、反渗(shèn)透多功能膜分离实验装置说明
孔口管嘴实验仪说明书
热电偶制(zhì)作校验仪说(shuō)明书
好氧堆肥实验装置实验(yàn)说明书
沿程阻力系数测定装置说明书
文丘(qiū)里除尘器性能实验指导书
制冷压缩机性能测(cè)试实训(xùn)装置指导书(shū)
化工传热实验装置使用说明书
数据(jù)采集板(bǎn)式静(jìng)电除尘器指导书(shū)
《台虎钳》实测绘(huì)图组合训练(liàn)装置
自由对流横管(guǎn)管(guǎn)外放热系数测试装(zhuāng)置使用说明书
流体力学综合实验装置使用说明书
《典型零件》实测绘图训练装(zhuāng)置
制冷制热工作原理及实验目的
挖掘机液压模拟训练平台操作说明
中温法向辐射率测量仪实验装(zhuāng)置的介绍及使用说明
传感器实验台的特点及维护
热电偶校(xiào)验仪使用(yòng)说(shuō)明
热电阻校验装置使用说明
做燃(rán)料电池教具实验要注意什么(me)
电机及电气技(jì)术实验的基本要求及安全操作规程
交流及直流电源实验操作说明
传感器(qì)实(shí)验台(tái)温度控制仪(yí)表操作说明
冲击水浴(yù)除尘器实验装置使用说明
变压器耦合推挽(wǎn)功率放大器实验(yàn)说(shuō)明
平面磨床面板器件布局图(tú)及电路实训单元故障现(xiàn)象
定时(shí)兼(jiān)报警记录仪的使用方法
浅谈职高《电子线路》教学中学生能力的(de)培(péi)养
试析(xī)自动化专业实验(yàn)实训室建设与实践教学体系改(gǎi)革
浅析创新电工电子实训教学模式提高学生自主操作(zuò)能力
谈《维修电工》工学结合(hé)一体化教学
电气自动化技术专业生产性实训模式创(chuàng)新
浅谈(tán)电工学实验在中专专业课教学中的作用
化工电气自动化专业(yè)实训室建设探讨
浅谈液(yè)压系统污染物的防与治
关于《液压(yā)与气动技(jì)术》课程教学探索
试析“新能(néng)源导论与创新实践(jiàn)”教学体会与实践
浅谈电力(lì)局办公自动化系统的开发模型(xíng)
两电极电(diàn)化学CO传感(gǎn)器的研制(zhì)
传感器教学中学生创新素质的培养
中职实(shí)训基地建设的探索与(yǔ)实践
基于PLC多(duō)台空调机组的自动控(kòng)制设计
浅谈析基于FMS的机电(diàn)一体化教(jiāo)学培训系统开发
电工电子实验技能正确使用的认识(shí)
改善机电一体化传动管控教学改革
浅谈电工电子设备中的各种“地”作用
光机电一体化设备中变频器怎么判(pàn)断故障
中职学生实验中对二(èr)极管电路认识
电工电子实训中常见(jiàn)问题(tí)总结
工程机械实训室建设的实习报(bào)告
中职学生(shēng)为什么要学电工(gōng)电子吗
在电工电子实训中几(jǐ)种二极管的(de)测试技巧
关于中职机电一体化专业技能体系的(de)构(gòu)建
关(guān)于中职机电一体化专(zhuān)业学生(shēng)技能实训(xùn)探索
电工电(diàn)子(zǐ)实验中对(duì)输入电阻和输出电阻的认(rèn)识
中职学生如何上好机电(diàn)一体化课程
浅谈PLC可编(biān)程序控制器在电气设备中作(zuò)用
中职机电一体化设备(bèi)组装与调试竞赛规程
浅谈中职机电一体化实习(实训)教学考核规范与标准
浅(qiǎn)谈中职教师汽车专业技能标(biāo)准的差异及对策
浅谈煤矿自动化机电技术探索
浅谈中职汽车一般常见故障的诊断方法
中职对机电一体化计(jì)算机基础探索(suǒ)
机电一体化技能竞赛促(cù)进教学质量的提高
浅谈中职汽车(chē)电气设备构造与维修(xiū)课程实践教学探索
对机电一体化设备安装中几个要点认识
对新型传(chuán)感(gǎn)器(qì)提升电动机性能并降低(dī)功耗作用
讲(jiǎng)解光机电一体化具体内容包括
浅谈机电一体化技术专业如何适应(yīng)应用(yòng)性本科教(jiāo)育
探索中职学(xué)校汽车修理专业如何适实践作(zuò)业
让高职学生了解热(rè)电偶现场使用(yòng)的注意事项(xiàng)
浅谈教(jiāo)学电(diàn)梯安装实训教学的分析
浅析电梯电气故障原因及解决(jué)措施
探索现代电力电子技术应用(yòng)状况
高职汽车技术服务与营销专业实践教(jiāo)学改革新探
汽车维修职业教育中(zhōng)故障诊断思维方法的培养
浅谈智能楼宇闭路电视监控系统方案
浅谈PLC可编程实训课教学探索
燃料电池发电教学实验平台
PLC可编程控制技术(shù)综合实训(xùn)装置(西(xī)门子(zǐ)1200)
家(jiā)用电器综合(hé)实训(xùn)室设备
光机电一体化实训设(shè)备实验室介绍
电机及电气技(jì)术实训装置
基础电工电(diàn)子实验室设备(bèi)
定制热管换热器实验台
物联网射频识别综合应用实验箱
初级维修电工实验台(tái)

我(wǒ)们的优势:

品牌(pái)理念品牌理念 标准流程 标准流程 有(yǒu)效沟通有效(xiào)沟通专业管理 专业管理客(kè)户视图 客户视图优秀团队优秀团队品(pǐn)质保证品质保证无忧售后无忧售后
上海红桃视频app科教设备有限公司,立于上海,心(xīn)怀天下
生(shēng)产基地:上海松江(jiāng)叶榭工业园

业务电话:021-56311657 , 56411696 , 业务传真:021-56411696 公司邮箱:shanghaimaoyu@126.com
教学设备厂 沪公网安备 31010702001294 号(hào) 沪ICP备13020377号-1
备案
网站地图 红桃视频app-17c起草红桃国际-星空无限传媒红桃视频-红桃影视tvapp免费下载