

,
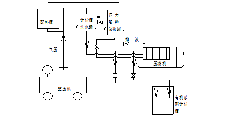
。過濾常數的測定是用操作中(zhōng)所需處理的(de)懸浮液在小試裝置中進行的。
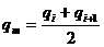
與q之間為(wéi)直線關係,直(zhí)線斜率為1/K,截距(jù)為
。測出在一(yī)係列過濾時間θ內單位過濾麵積上所獲(huò)得的(de)累積濾液量體積,並由此算出一係列q值,從而得出一組對應的(de)
值。而與此相對應的q值應為
即:
;以θ/q為縱(zòng)坐標,
為自變量作橫坐標做圖,可得出K和
。再(zài)以θ=0、q=0代(dài)入過濾方程式
中即可求出
值。

| 時間(min) | 濾液量 | q(m3/s) |
(m3/s) |
| 2 | |||
| 4 | |||
| 6 | |||
| 8 | |||
| 10 |
、
。
品牌理念
標準流程
有效溝通
專業管(guǎn)理
優(yōu)秀團隊
品質保證
無憂售後 | 上海红桃视频app科教設備(bèi)有限公司,立於上海,心懷天下 |
生產基地:上海鬆江葉榭工業(yè)園
業務電話:021-56311657 , 56411696 , 業務傳真:021-56411696 公司郵箱:shanghaimaoyu@126.com 教學(xué)設備廠 滬公(gōng)網(wǎng)安備 31010702001294 號 滬ICP備13020377號-1 |