

| 柱号 | 沉淀时间/min | 取(qǔ)样点编号 |
SS /(mg/L) |
SS平均值 /(mg/L) |
取(qǔ)样点有效(xiào)水(shuǐ)深(shēn)/m | 备注 | |
| 1 | 20 | 1-1 | |||||
| 1-2 | |||||||
| 1-3 | |||||||
| 1-4 | |||||||
| 1-5 | |||||||
| 2 | 40 | 2-1 | |||||
| 2-2 | |||||||
| 2-3 | |||||||
| 2-4 | |||||||
| 2-5 | |||||||
| 3 | 60 | 3-1 | |||||
| 3-2 | |||||||
| 3-3 | |||||||
| 3-4 | |||||||
| 3-5 | |||||||
| 4 | 80 | 4-1 | |||||
| 4-2 | |||||||
| 4-3 | |||||||
| 4-4 | |||||||
| 4-5 | |||||||
| 5 | 100 | 5-1 | |||||
| 5-2 | |||||||
| 5-3 | |||||||
| 5-4 | |||||||
| 5-5 | |||||||
| 6 | 120 | 6-1 | |||||
| 6-2 | |||||||
| 6-3 | |||||||
| 6-4 | |||||||
| 6-5 | |||||||
| 沉淀柱 | 1 | 2 | 3 | 4 |
沉淀时(shí)间/min![]() 沉淀水深/m |
20 | 40 | 60 | 80 |
| 0.25 | ||||
| 0.5 | ||||
| 0.75 | ||||
| 1 | ||||
| 1.25 | ||||
| 1.5 |
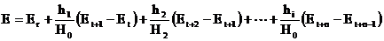
(式1)
的那部分完全可以去除(chú)颗粒的去除率。
时就可以被去除。这部分颗(kē)粒是指沉速
的(de)那些颗(kē)粒。这部分颗粒的沉淀效率(lǜ)也不相(xiàng)同,其中颗粒的沉速快。其计算方法(fǎ)、原理和分散颗粒沉淀一样(yàng),用图解法,因中间(jiān)曲线对应的不同(tóng)去除率的水深度分别为(wéi)h1、h2、hi、…,则(zé)
近似地代表了这部分颗粒中所(suǒ)能沉到池底的比例。这样可将分散颗粒沉淀中的
用
代替。
(式2)| 柱号 | 沉淀(diàn)时间/min | 取样点编号 | W1 (mg) | W2 (mg) |
SS平(píng)均(jun1)值 (mg) |
取样点有效水深cm | 备注 |
| 1 | 20 | 1-1 | 0.9790 | 1.0280 | 0.0490 | 53 | |
| 1-2 | 0.9697 | 1.0231 | 0.0534 | 77 | |||
| 1-3 | 0.9774 | 1.0315 | 0.0541 | 102 | |||
| 1-4 | 0.9790 | 1.0357 | 0.0567 | 126 | |||
| 1-5 | 0.9823 | 1.0547 | 0.0724 | 151 | |||
| 2 | 40 | 2-1 | 0.9795 | 1.0149 | 0.0404 | 53 | |
| 2-2 | 0.9819 | 1.0133 | 0.0314 | 77 | |||
| 2-3 | 0.9835 | 1.0331 | 0.0496 | 102 | |||
| 2-4 | 0.9805 | 1.0262 | 0.0457 | 126 | |||
| 2-5 | 0.9898 | 1.0981 | 0.0583 | 151 | |||
| 3 | 60 | 3-1 | 0.9811 | 1.0067 | 0.0256 | 53 | |
| 3-2 | 0.9819 | 1.0170 | 0.0351 | 77 | |||
| 3-3 | 0.9859 | 1.0097 | 0.0238 | 102 | |||
| 3-4 | 0.9880 | 1.0434 | 0.0554 | 126 | |||
| 3-5 | 0.9728 | 1.0283 | 0.0555 | 151 |
品牌理念(niàn)
标准流程
有效沟通
专业管理
优秀团队
品质保证
无忧售后 | 上海红桃视频app科教(jiāo)设备有(yǒu)限公司,立于上海,心怀天下 |
生产基(jī)地:上海松江叶榭工业园
业(yè)务电话(huà):021-56311657 , 56411696 , 业务传真(zhēn):021-56411696 公司邮箱:shanghaimaoyu@126.com 教学设备厂 沪公网(wǎng)安备 31010702001294 号 沪(hù)ICP备13020377号-1 |