
(1)
- y方向上的温度梯度
范围(wéi)。纯金属的导热系数随温度升高(gāo)而减小,合金却相反,但纯金(jīn)属的导热(rè)系数通常高于由其所组成的(de)合金。本实验中,小球材料的选取对(duì)实验结果有重要影响。
(2)
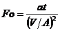
并非物性常数,其(qí)取决于(yú)系统的物性因素,几何因素和流动因素,通常由实验来测定。本实验测定的是小球在(zài)不同(tóng)环境和流(liú)动状态下的对流传热系数。
。物体在导热介质的加热或冷却过程中,导热(rè)速率同时取决于物体内部的导热热阻以及与环境间的外(wài)部对流热阻。为(wéi)了简化,不少问题(tí)可以忽(hū)略两者之一进行处(chù)理。然而(ér)能否简化,需要确定一个判据。通常定义无因次准数毕奥数(Bi),即物体内部导热热阻与物体外部对流热阻之比进行判断。

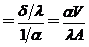
(3)
- 为特征(zhēng)尺寸,对于球体为R/3
,表明内(nèi)部导热热阻(zǔ)<<外部对(duì)流热阻,此时,可忽略内部导热热阻,可简化为整个物体的温度均匀一(yī)致,使温度仅为时间(jiān)的函数(shù),即
。这(zhè)种将系统简化为具有均一性质进行处(chù)理的方法,称为集总参数法。实验表明,只要Bi<0.1,忽略内部(bù)热阻进行计算,其误差(chà)不大于5%,通常为工程计算所允许。
的小钢球,置于(yú)温度为(wéi)恒定(dìng)
的(de)周围环境中,若
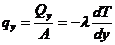
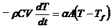
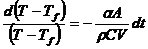
,小球的瞬时温度T,随着时间t的增加而减小。根据热平衡原理,球(qiú)体热量随时间的变化应等于通过对流(liú)换热向周围(wéi)环境(jìng)的散热速率。
(4)
(5)

(6)
(7)
,分析(6)式可知(zhī),当物体与环境间的热交换经历(lì)了四(sì)倍于时(shí)间常数的时间后,即:
,可得(dé):
的变化已达98.2%,以后的变化仅剩(shèng)1.8%,对工程计算来说,往后(hòu)可(kě)近似作定常数(shù)处理。
代入式(6)整理(lǐ)得:
(8)
(9)
和(hé)
的值。
范围,即高
数下,绕球换(huàn)热的经验式为(wéi):
(10)
。
数的物(wù)理含(hán)义是什么?
。
准数(shù),确定其(qí)值是否小于(yú)0.1。
品牌理念
标准流程
有效沟通
专业管理
优(yōu)秀团队
品质保证
无忧售后 | 上海(hǎi)红桃视频app科教设备(bèi)有限公司,立于上海,心怀天下 |
生产基地:上海松江叶榭工业园
业(yè)务电话:021-56311657 , 56411696 , 业务传(chuán)真:021-56411696 公司邮箱:shanghaimaoyu@126.com 教学(xué)设备厂 沪公网安备 31010702001294 号 沪ICP备13020377号-1 |